


地址:北京市密云區高嶺鎮政府辦公樓
王經理 13393261468
Q Q:514468705/1049705527
郵箱:jhcxkj@163.com
在規模較大的數據中心機房,數臺甚至十幾臺柴油發電機并列運行的情況越來越多。在市電中斷時,柴油發電機除在最快的時間內能自起動外,還應該最大限度的滿足應急負荷的起動及供電容量要求,若容量選擇小,電動機起動時電壓降過大,容量選得過大,則運行經濟效益差。文中探討了該如何選擇單臺柴油發電機的容量,選用幾臺柴油發電機并列才能既滿足系統的應急要求,又不造成容量的浪費的問題。
柴油發電機是內燃發電機的一種,它以柴油為一次能源,柴油機為原動機,它有如下幾個特點:
① 燃料價格便宜,容易保存;
② 構造簡單,輔助設備少;
③ 起動迅速,帶負荷和停機的動作時間短;
④ 操作維護簡單、方便。
正是因為上述特點,柴油發電機在數據中心的使用范圍也越來越廣泛。隨著數據中心機房規模的逐步擴大,高級別配電系統的數據中心機房也在成比例的增加,由于A級機房要求供電系統不能中斷,所以,在規模較大的數據中心機房,數臺甚至十幾臺柴油發電機并列運行的情況越來越多。在市電中斷時,除在最快的時間內能自起動外,還應該最大限度的滿足應急負荷的起動及供電容量的要求,若容量選擇小,電動機起動時電壓降過大。容量選得過大,則運行經濟效益差。那么,該如何選擇單臺柴油發電機的容量呢?選用幾臺柴油發電機并列才能既滿足系統的應急要求,又不造成容量的浪費呢?
1 柴油發電機的功率
(1) 持續功率(COP)(恒定負荷持續運行)
COP為在商定的運行條件下并按照制造商的規定進行維護保養,機組以恒定負載持續運行,且每年運行時間不受限制的最大功率。
(2) 基本功率(PRP)(變負荷持續運行)
PRP為在商定的運行條件下并按照制造商的規定進行維護保養,機組以可變負載持續運行,且每年運行時間不受限制的最大功率。
(3) 限時運行功率(LTP)
LTP為在商定的運行條件下并按照制造商的規定進行維護保養,機組每年運行時間可達500h的最大功率。
(4) 應急備用功率(ESP)
(變負荷限時運行)ESP為在商定的運行條件下并按照制造商的規定進行維護保養,在市電中斷或在試驗條件下,機組以可變負載運行且每年運行時間可達200h的最大功率。
數據中心機房的應急柴油發電機性能等級不應低于G3級;A級數據中心發電機組應按照基本功率(PRP)選擇;B級數據中心發電機組的輸出功率可按照限時運行功率(LTP)來選擇。
2 選擇柴油發電機的必要條件
選擇柴油發電機的必要條件如下:
(1) 安裝現場的環境溫度、濕度和海拔高度
當使用環境的溫濕度和海拔高度超過發電機的額定值時,發電機需要降容使用;
(2) 柴油發電機供電負荷總容量
需要所有柴油發電機供電負荷的容量數據,包括裝機容量、負荷系數、功率因數等。電動機負荷還要給出臺數、效率、起動電流倍數等參數;
(3) 起動順序
①按照負荷的重要性分出起動的先后順序;
②按照負荷大小及起動電流大小,同樣重要的電動機容量大、起動電流大的優先。
③系統允許的電壓降,常用電氣設備端子的電壓偏差允許值。

電動機起動時,其端子電壓應能保證被拖動機械要求的起動轉矩,且在起動時,配電母線上的電壓應符合下列要求:
電動機不頻繁起動時,不宜低于標稱電壓的85%(數據中心機房在柴油發電機供電時,電動機屬于不頻繁起動的情況);
配電母線上未接照明或其他對電壓下降敏感的負荷時,不應低于標稱電壓的80%;
配電母線上只有電動機時,可按照保證電動機起動轉矩的條件決定;對于低壓電動機,還應保證接觸器線圈電壓不低于釋放電壓(從產品樣本中可以查到,查不到樣本時,可按照70%考慮)。
3 柴油發電機的容量選擇和計算
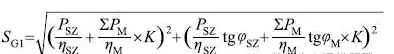
(1) 計算全部應急負荷的容量式中

SG1——按所供全部應急負荷計算的發電機容量,kVA;PSZ——事故照明負荷,kW;ηSZ——事故照明負荷的效率;tgφSZ——事故照明負荷功率因數角的正切值;
PM——電動機的額定容量,kW;ηM——電動機的額定效率,通常可以取0.8~0.9,或由產品樣本中查得;tgφM——電動機功率因數角的正切值;K——需要系數,在數據中心機房應急情況下取1.
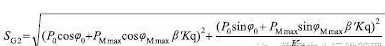
(2) 考慮發電機過負荷能力的計算式中

SG2——按滿足需要起動的大容量電動機起動時計算的發電機容量,kVA;
P0——PMmax投運前已投入運行的負荷容量,kVA;
cosφ0——P0負荷的功率因數;
sinφ0——P0負荷的功率因素角的正弦值;
PMmax——投入的最大容量電動機的額定容量,kW;
cosφMmax——最大容量電動機的起動功率因數;
sinφMmax——最大容量電動機的起動功率因數角的正弦值;
KG——發電機的過負荷倍數,一般可取1.5;
β'——相當于PMmax電動機起動時的kVA值與電動機額定容量kW值之比;
β'=β/ηmn×cosφmn
上式中,β——電動機的起動電流倍數;
ηmn——最大容量電動機的效率;
cosφmn——最大容量電動機的功率因數;
Kq——起動電流倍數,詳見表2。

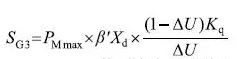
(3)按起動時允許電壓降計算

式中,SG3——滿足大容量電動機起動時允許電壓降計算的發電機容量,kVA;
Xd——發電機的電抗,為發電機暫態電抗X'd和次暫態電抗X''d的算術平均值,即Xd=(X'd+X''d)/2,當查不到產品樣本時,Xd一般可取0.15~0.3;
ΔU——起動時母線允許的電壓降,一般可取0.25~0.3V;
按照前面三種要求算出柴油發電機容量后,如果SG2、SG3比SG1大的較多,則說明電動機的起動方式需要進行適當的改變。在選擇柴油發電機容量的時候,需要分析是電動機降壓起動選擇小容量發電機組,還是電動機直接起動選擇較大容量發電機組,應該根據綜合技術經濟比較來確定。
4 數據中心機房柴油發電機選擇實例
某數據中心機房負荷見表3。


其中動力負荷當中,制冷主機功率為340.2kW(容量最大電動機),水泵為45kW,均為三用一備,柴油發電機的單臺容量及臺數選擇計算如下:

(1) 總的應急負荷計算
從上述計算當中可以發現,此處的柴油發電機總容量已經超過了2500kW,所以其電壓等級應為10.5kV.從負荷計算表中不難發現,2層與3、4層機房的機柜用電量接近,所以可以把動力負荷與機房UPS負荷分為兩個容量接近的部分,然后計算單臺柴油發電機的容量。
(2 )按照發電機過負荷能力選擇的計算
起動時柴油發電機1所帶負荷:2層機房負荷+2層動力負荷+兩臺冷水機組+兩臺水泵=1669.64kW,起動時柴油發電機2所帶負荷:3、4層機房負荷+3、4層動力負荷+一臺冷水機組+一臺水泵+插座=1540.27kW。
可以看出,柴油發電機1所帶負荷大容量電動機臺數多,所以,可以根據柴油發電機1的計算結果確定單臺柴油發電機的容量,計算結果如下:

從上述計算可以看出,在冷凍機采用軟起動方式,起動系數為3時,單臺柴油發電機的容量可以選擇2000kW。
(3)按照母線允許的電壓降計算

綜上所述,本例當中的柴油發電機采用10.5kV,2000kW柴油發電機并機方式或者采用單母線分段接線方式。
5 結束語
數據中心機房柴油發電機系統多使用柴油發電機并機運行的方式,所以在計算柴油發電機容量的時候,需要先對由柴油發電機所帶負荷進行合理的分組,根據分組容量計算單臺容量,再確定臺數,經多方面比較后確定一個既保證系統可靠穩定,又保證良好經濟效益的方案。