


地址:北京市密云區高嶺鎮政府辦公樓
王經理 13393261468
Q Q:514468705/1049705527
郵箱:jhcxkj@163.com
1 UPS在數據中心中的作用及其能耗分析
數據中心的供電不能有一刻的間斷,即使只有幾秒鐘的中斷也可能造成重要數據丟失/設備損壞,甚至會影響數據中心的正常運行,造成嚴重的經濟損失。隨著信息技術及相關產業的飛速發展,UPS供電系統成為數據中心業務運行的可靠保障。
隨著行業的發展和計算機技術的廣泛應用,越來越多的數據中心需要UPS供電系統的保護。對于數據中心,UPS系統已不能只作為在停電后向負載繼續供電的整機產品,而是作為一個高可靠、高智能的供電平臺,為整個數據中心進行全面的保護,不僅能夠提供后備時間,還能夠改善電網的質量。因此,UPS作為計算機的重要外設,在保障負載用電、改善電能質量、防止電網對負載造成危害等方面起著十分重要的作用。
由于UPS是常年不間斷運行的設備,提高UPS整機效率是降低數據中心能耗的關鍵因素。效率每提高1%,每年的節電量就非??捎^。并且,UPS以熱量形式散發的損耗也將降低,空調系統也會因此節能。在分析UPS系統能耗時,應充分考慮以下因素:
(1) UPS的效率和負載率有著直接的關系
通常,UPS技術參數中給出的效率值,是在額定負載以及其他各種適宜的系統狀態下得出的,代表著UPS可以達到的最佳效率。但是,很少有UPS運行在100%負載下。當負載率較低時,UPS的效率將有較大的下降。
(2) UPS系統的效率不應僅考慮UPS本機自身的效率
不同的UPS由于采用不同的拓撲或技術,在系統配置上有很大差別。例如采用IGBT整流的UPS,不需要增加濾波裝置就可以滿足系統要求。而采用6脈沖整流的UPS,為滿足系統要求必須配置濾波器;高頻機型UPS(本文簡稱“高頻機”)不需要增加輸出變壓器就可以滿足供電電壓要求,而工頻機型UPS(本文簡稱“工頻機”)必須增加輸出變壓器才能滿足電壓要求。因此,在分析UPS系統效率時,應考慮包括其輔助設備(如濾波器、隔離變壓器等)在內的UPS整體系統效率。
2 UPS基本原理與結構
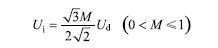
UPS可以分為工頻機和高頻機。傳統的工頻機由SCR整流器、IGBT逆變器和輸出變壓器組成,如圖1所示。由于整流器采用的SCR整流技術屬于降壓整流,造成UPS的輸出電壓低于輸入電壓,必須在輸出端配備升壓變壓器才能滿足輸出電壓的要求。

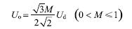
工頻機的逆變器采用PWM調制技術,為PWM逆變器。根據電路工作原理,直流母線電壓與UPS逆變器輸出線電壓的關系為
(1)
式中Uo為輸出線電壓的有效值;Ud為整流器輸出的直流母線電壓;M為逆變器調制比。
根據式(1),當UPS要求輸出線電壓為380V時,直流母線電壓Ud必須大于620V。工頻機采用三相橋式整流時,直流母線電壓Ud與輸入交流電壓Ui的關系為
(2)
式中Ui為輸入線電壓的有效值。根據式(2),當UPS輸入線電壓為380V時,直流母線電壓不會超過513V,這樣UPS的輸出不能達到380V,必須通過變壓器升壓才能滿足要求。在中、大功率場合,高頻機的主電路由IGBT整流器、充電器和IGBT逆變器構成,如圖2所示。整流器和逆變器的開關管均為IGBT,工作頻率在10kHz以上,因此這種結構的UPS被稱為高頻機。由于高頻機整流器采用PWM整流技術屬于升壓整流,UPS輸出電壓可以滿足負載要求,因此輸出無需配備升壓變壓器。

IGBT整流器具有升壓功能,可以根據需要調節輸出直流母線電壓的大小,從而滿足UPS輸出交流電壓的要求。IGBT整流器輸出的直流母線電壓與輸入線電壓的關系
式為
(3)
式中Ui為輸入線電壓的有效值;Ud為整流器輸出的直流母線電壓。
根據式(3)可知,當市電輸入的線電壓Ui為380V時,Ud的大小可以通過改變調制比M來調節,滿足Ud大于620V。這樣,逆變器的輸出電壓就可以滿足380V的要求,無需設置升壓變壓器。
3 UPS能耗分析
(1)變壓器損耗
根據上述分析可知,工頻機輸出電壓較低,需要額外增加輸出變壓器,而高頻機可以直接輸出符合要求的電壓,不需要設置輸出變壓器。變壓器造成的損耗占UPS總損耗很大比例。變壓器損耗分為鐵耗、銅耗和雜散損耗,其中雜散損耗占比很小,本文不予討論。
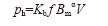
交流電流在變壓器鐵心中產生交變磁場,在此交變磁場作用下,所產生的磁滯損耗和渦流損耗,統稱為“鐵耗”,一般認為鐵耗不隨負載而變化,并以額定電壓下變壓器的空載損耗為鐵耗。UPS的空載損耗占UPS總損耗的40%左右,變壓器的空載損耗為UPS空載損耗的主要組成部分。磁滯損耗ph為鐵心中建立交變磁通、克服磁疇回轉所需的功率,與鐵磁材料、磁場交變頻率有關,工程上可表述為
(4)
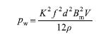
式中,Kh為不同材料的計算系數,f為磁場交變頻率,Bm為磁感應強度的最大值,α為由實驗確定的正指數,V為鐵心的體積。變壓器硅鋼片鐵心中的渦流損耗為
(5)
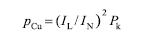
式中,K為電勢比例常數,d為硅鋼片厚度,ρ為硅鋼片電阻率。變壓器繞組由銅線繞制,電流流經繞組時將產生損耗,一般稱為銅損(pCu),其大小與負載電流的平方成正比
(6)
式中,IL為負載電流,IN為額定電流,Pk為短路試驗測定的變壓器短路損耗。高頻機與工頻機相比少了輸出變壓器,大大減少了UPS的損耗,提高了效率。
(2)濾波電感損耗
工頻機的整流器通常為二極管不控整流或SCR組成的半控整流,工作頻率為50Hz,諧波頻率較低。而高頻機的整流器和逆變器均工作在10kHz以上,UPS產生的諧波主要為高頻諧波,可以使用較小的濾波電感就可以達到很好的濾波效果。與工頻機相比,高頻機使用的濾波電感體積較小,重量較輕,阻抗值也比較小。
電感的損耗也可以分為鐵損和銅損,電感的鐵損包括磁滯損耗和渦流損耗,其計算方法與變壓器類似。由式(4)、(5)可見,磁滯損耗與開關工作頻率成正比,與鐵心體積成正比;渦流損耗與開關工作頻率的平方成正比,與鐵心體積成正比。與工頻機相比,高頻機開關頻率較高,所用的濾波電感較小,鐵心體積較小;此外,高頻機使用的濾波電感繞組電阻較小,所以銅損較低。
總的來說,工頻機與高頻機在濾波電感上的損耗相差不大,且占UPS總損耗的比例不高。
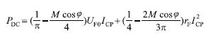
(3)開關損耗
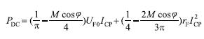
不同的PWM調制方式導致的開關損耗不同,以下僅以單極性PWM調制為例簡要作介紹。每個IGBT模塊由一個IGBT與一個反并聯二極管組成,其中IGBT的通態損耗為
(7)
式中,M為調制比,φ為電壓電流相位差,UCE0為門檻電壓,rCE為IGBT等效通態電阻,ICP為IGBT電流。
IGBT的開關損耗用下式可滿足工程計算的要求
(8)
式中,fSW為IGBT開關頻率,ESW(on)P、ESW(off)P分別為額定電流ICN與額定電壓UCEN時開通、關斷一次損失的能量,Ud為直流母線電壓。反并聯二極管的通態損耗為
(9)
式中,UF0為二極管門檻電壓,rF為二極管通態等效電阻。
反并聯二極管的開通損耗可忽略不計,其關斷損耗為
(10)
式中,EDiode(off)P為額定電流ICN與額定電壓UCEN下二極管關斷一次損失的能量。
高頻機逆變器所用IGBT額定電壓要比工頻機高一倍,但兩者的IGBT與二極管的門檻電壓、等效通態電阻相差不大;此外由于工頻機直流母線Ud較低,需要用輸出變壓器將逆變器輸出電壓升壓至380V,而高頻機的逆變器直連輸出,因此工頻機逆變器輸出電流要比高頻機大。由式(7)和式(9)可見,工頻機逆變器的通態損耗比高頻機要高,據測算要增加90%~150%。
由于工頻機整流器采用不控器件二極管或半控器件晶閘管進行整流,直流母線電壓范圍較寬,逆變器難以一直工作在最優點;而高頻機采用全控器件IGBT整流,直流母線電壓基本保持不變,逆變器工作在其設計的最優點,從而提高了逆變器的效率。
UPS是數據中心的重要基礎設施之一,其能耗的降低對數據中心整個生命期內總擁有成本TCO有重要作用。通過前面的分析可知,高頻機造成的能耗要比工頻機小,最主要的因素是變壓器損耗,由于變壓器有較大的空載損耗,造成工頻機的空載損耗較大,即在較低的負載率時效率不高,能耗較大。
舉例來說,兩套320kW的UPS,系統架構均為2+1,分別為工頻機和高頻機。雖然兩者公布的效率滿載時都在90%以上,但N+1架構的UPS不會運行在100%負載情況下。根據GB50174-2008《電子信息機房設計規范》,UPS單機負載率不能超過83.3%,在2+1配置下,UPS負載率不會超過55.53%。UPS的損耗可以根據下式來計算
(11)
式中,Ploss為有功功率損耗;PN為UPS額定有功功率;S為負載率;η為UPS效率。
對于本例,假設負載率為30%時,工頻機的效率約為80%,而高頻機可以達到90%。根據式(11),兩者的損耗分別為

這些由UPS損耗造成的熱量必須由制冷系統排出,假設空調能耗比為3:1,即每3kW的熱量需要由1kW的制冷功率來排出。則兩套UPS的電力損耗分別增至32kW和14.23kW。假設電費成本為1元/kWh,每年兩套UPS的電力損耗成本分別為280320元和124654.8元,即高頻機比工頻機每年節省電費155665.2元。
綜上所述,同等容量的高頻機要比工頻機更節能,在負載率低的情況下節能效果更加顯著。
4 結束語
UPS系統的能耗降低可以提高供電系統的效率,降低整個數據中心的電力使用效率PUE,有助于建設更加綠色高效的數據中心。
作者簡介
孫建俠(1989-),女,中國民航信息網絡股份有限公司電氣工程師。主要負責UPS供電系統的運維、供電架構分析和設備配置工作。
丘曉明(1987-),男,中國民航信息網絡股份有限公司電氣工程師。主要負責UPS供電系統的運維、系統架構設計和關鍵設備選型工作。
李瑞強(1970-),男,中國民航信息網絡股份有限公司資深電氣工程師。長期從事數據中心供電系統管理、系統架構設計和技術分析工作。
編輯:Harris
關鍵詞:ups電源參數http://www.groot360.com/list-3-1.html